Кирик Л.А ФГОС 8 класс онлайн Самостоятельная работа № 16 Высокий уровень
1. а) Имеются две лампы мощностью 60 и 100 Вт, рассчитанные на напряжение 220 В. Какая из них будет гореть ярче при включении в осветительную сеть?
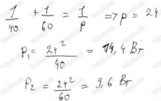
б) Две лампы мощностью 40 и 60 Вт, рассчитанные на одинаковое напряжение, включены в сеть с тем же напряжением последовательно* Какие мощности они потребляют?
2. а) Две одинаковые лампочки, рассчитанные на напряжение 6,3 В, включены в электрическую цепь. Одна лампочка светила 1 мин, другая — 2 мин. В какой лампочке работа электрического тока была больше? Почему?
Работа тока зависит от времени A=IUt . Больше время, больше работа
б) Определите, на какое напряжение рассчитан электрокипятильник, который за 5 мин нагревает 0,2 кг воды от 14 °С до кипения, при условии, что по его обмотке протекает ток 2 А. Потерями энергии можно пренебречь.
3. а) В квартире в течение часа горели две электрические лампы. Мощность первой лампы 75 Вт, второй — 100 Вт. В какой из ламп расход электроэнергии больший?
100 Вт лампа будет потреблять больше электроэнергии.
б) Из какого материала изготовлена спираль нагревательного элемента, мощность которого 480 Вт, если его длина равна 16 м, сечение 0,24 мм2 и напряжение в сети 120 В?
4. а) Одна электрическая лампа включена в сеть напряжением 127 В, а другая — в сеть напряжением 220 В. В какой лампе при прохождении 1 Кл совершается большая работа?
б) Сколько времени будут нагреваться 1,5 л воды от 20 °С до 100 °С в электрическом чайнике мощностью 600 Вт, если КПД чайника 80 % ?
5. а) Две электрические лампы, мощность которых 40 и 80 Вт, рассчитаны на одно и то же напряжение. Сравните сопротивления нити накала обеих ламп.
б) Четыре лампы мощностью по 25 Вт, включенные последовательно в сеть с напряжением 36 В, горят нормальным накалом. Последовательно с лампами включен реостат. При каком сопротивлении реостата мощность тока уменьшится вдвое?
6. а) Одна электрическая лампа включена в сеть напряжением 127 В, а другая — в сеть напряжением 220 В. Через какую лампу должно пройти большее количество электричества, чтобы работа тока была одинаковой в обеих лампах?
Через лампу напряжения 220 В.
б) Резисторы сопротивлениями 24 и 72 Ом подключают к источнику постоянного напряжения один раз последовательно, а второй раз параллельно. В каком случае в первом из резисторов выделится большее количество теплоты за одно и то же время? Во сколько раз большее?








