Кирик Л.А ФГОС 8 класс онлайн Самостоятельная работа № 16 Достаточный уровень
1. В электроприборе за 45 мин током 5 А совершена работа 162 кДж. Определите сопротивление прибора.
2. Два резистора сопротивлениями 6 и 10 Ом включены в цепь последовательно. Какое количество теплоты выделится в каждом резисторе за 2 мин, если напряжение на втором равно 20 В?
3. К источнику тока напряжением 120 В поочередно подключали на одно и то же время проводники сопротивлениями 20 и 40 Ом. В каком случае работа электрического тока была меньше и во сколько раз?
4. Два проводника соединены параллельно. В первом за 1 мин выделилось 3,6 кДж теплоты, а во втором за то же время — 1,2 кДж. Вычислите сопротивление второго проводника, если сопротивление первого равно 2 Ом.
5. Сравните мощность тока в двух проводниках сопротивлениями 50 и 10 Ом, если они соединены: а) параллельно; б) последовательно. Напряжение на концах цепи в обоих случаях одинаково.
6. Три проводника соединены последовательно. Первый имеет сопротивление 2 Ом, второй — 6 Ом, а в третьем за 1 мин выделилось 2,4 кДж теплоты. Каково сопротивление третьего проводника, если напряжение на втором равно 12 В?
7. Какова сила тока в лампе велосипедного фонаря, если при напряжении 4 В в ней за 6 с расходуется 4,8 Дж электроэнергии?
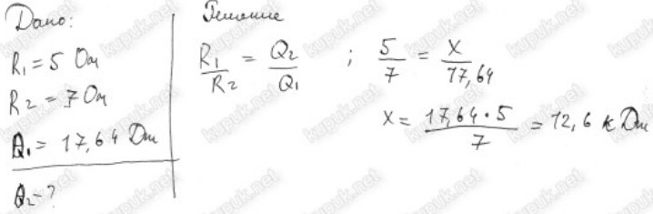
8. Два проводника сопротивлениями 5 и 7 Ом соединяют параллельно и подключают к источнику электрической энергии. В первом выделилось 17,64 Дж теплоты. Какое количество теплоты выделилось во втором проводнике за это же время?







