Кирик Л.А ФГОС 8 класс онлайн Контрольная работа №1 Вариант 3
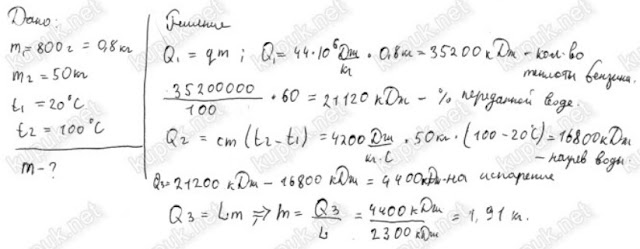
5. Сжигая 800 г бензина, воду массой 50 кг нагревают от 20 °С до 100 °С, причем часть воды испаряется. Сколько воды испарилось, если 60 % энергии, выделившейся при сгорании бензина, передано воде?
1. Человек греется у костра. Выберите правильное утверждение.
A. Тепло от костра передается человеку главным образом благодаря теплопроводности.
Б. Тепло от костра передается человеку главным образом благодаря излучению.
B. Человеку тепло от костра передается потому, что воздух обладает хорошей теплопроводностью.
Г. Тепло от костра передается человеку главным образом благодаря конвекции.
Б. Тепло от костра передается человеку главным образом благодаря излучению.
B. Человеку тепло от костра передается потому, что воздух обладает хорошей теплопроводностью.
Г. Тепло от костра передается человеку главным образом благодаря конвекции.
2. Льдинки, покрывающие лепестки цветка, тают под солнечными лучами (см. рисунок). Выберите правильное утверждение.
A. При таянии молекулы льда изменяются, превращаясь в молекулы воды.
Б. При таянии температура льда понижается.
B. При таянии нарушается порядок в расположении молекул.
Г. При таянии льдинки отдают некоторое количество теплоты.
A. При таянии молекулы льда изменяются, превращаясь в молекулы воды.
Б. При таянии температура льда понижается.
B. При таянии нарушается порядок в расположении молекул.
Г. При таянии льдинки отдают некоторое количество теплоты.
3. На что расходуется больше энергии: на нагревание воды или медной кастрюли, если массы их одинаковы?
Если массы медной кастрюли и воды, налитой в него, одинаковы, то при нагревании большее количество теплоты будет поглощаться водой, так как С воды = 4200 Дж/кг С , С меди = 380 Дж/кг С
4. Температура воды массой 5 кг повысилась от 7 °С до 53 °С после опускания в нее нагретой железной гири. Определите массу этой гири, если ее начальная температура была 1103 °С. Обменом энергии с окружающей средой можно пренебречь.
5. Сжигая 800 г бензина, воду массой 50 кг нагревают от 20 °С до 100 °С, причем часть воды испаряется. Сколько воды испарилось, если 60 % энергии, выделившейся при сгорании бензина, передано воде?

