Кирик Л.А ФГОС 8 класс онлайн Самостоятельная работа № 11 Высокий уровень
2. Нужно изготовить провод длиной 100 м и сопротивлением 1 Ом. В каком случае провод получится легче: если его сделать из алюминия или из меди? Во сколько раз?
3. Из металла массой 1 кг нужно изготовить провод длиной 1 км. В каком случае сопротивление провода будет меньше: если его сделать из меди или серебра? Во сколько раз?
4. Найдите массу и сопротивление алюминиевых проводов, используемых для изготовления электропроводки в жилом помещении, если сечение провода 0,6 мм2, а длина проводов 80 м.
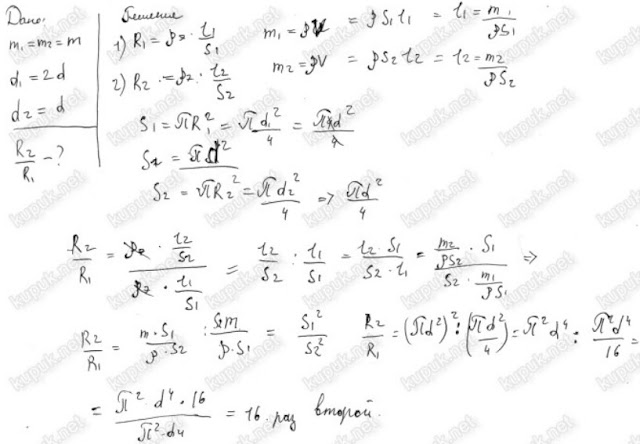
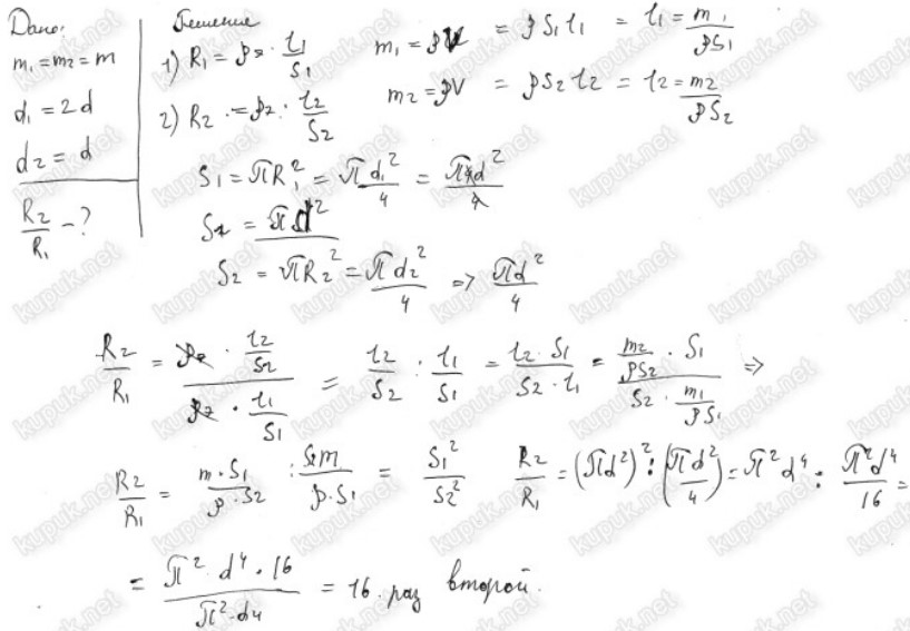
5. Два алюминиевых провода имеют одинаковую массу. Диаметр первого провода в 2 раза больше, чем диаметр второго. Какой из проводов имеет большее сопротивление и во сколько раз большее?
6. Сопротивление медной проволоки равно 1 Ом, а ее масса — 1 кг. Определите длину проволоки и площадь ее поперечного сечения.
1. На катушку электромагнита намотан медный провод сечением 0,03 мм2 и длиной 200 м. Найдите сопротивление обмотки и ее массу.
2. Нужно изготовить провод длиной 100 м и сопротивлением 1 Ом. В каком случае провод получится легче: если его сделать из алюминия или из меди? Во сколько раз?
3. Из металла массой 1 кг нужно изготовить провод длиной 1 км. В каком случае сопротивление провода будет меньше: если его сделать из меди или серебра? Во сколько раз?
4. Найдите массу и сопротивление алюминиевых проводов, используемых для изготовления электропроводки в жилом помещении, если сечение провода 0,6 мм2, а длина проводов 80 м.
5. Два алюминиевых провода имеют одинаковую массу. Диаметр первого провода в 2 раза больше, чем диаметр второго. Какой из проводов имеет большее сопротивление и во сколько раз большее?
6. Сопротивление медной проволоки равно 1 Ом, а ее масса — 1 кг. Определите длину проволоки и площадь ее поперечного сечения.





