Кирик Л.А ФГОС 10 класс онлайн Самостоятельная работа № 3 Высокий уровень
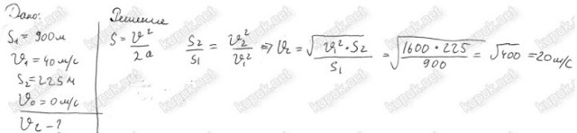
1. На взлетной полосе длиной 900 м самолет приобретает скорость 40 м/с. С какой скоростью самолет проходит точку, находящуюся на расстоянии 225 м от начала полосы?
2. Автомобиль, трогаясь с места, движется с ускорением 2 м/с^. Какой путь он пройдет за третью и за четвертую секунды движения?
3. За 10 с скорость тела на пути 300 (М увеличилась в 2 раза. Считая его движение равноускоренным, определите ускорение.
4. По наклонной доске пустили катиться снизу вверх шарик. На расстоянии 30 см от начала пути шарик побывал дважды: через 1 с и через 2 с после начала движения. Определите начальную скорость и ускорение движения шарика. Ускорение считать постоянным.
5. Мяч, подброшенный вертикально вверх, пролетает мимо окна на высоте 6 м дважды с интервалом 2 с. Какой наибольшей высоты достиг мяч?
6. Тело падает с высоты 180 м. Разделите траекторию движения на три участка, которые тело проходит за равные отрезки времени.
7. Тело свободно падает без начальной скорости с высоты 100 м. Каково его перемещение в последнюю секунду падения?
8. В последнюю секунду свободного падения тело прошло 30 м. Сколько времени длилось падение?
9. С каким интервалом оторвались от крыши две капли, если спустя 2 с после начала падения второй капли расстояние между каплями стало 25 м?
10. С башни высотой 20 м одновременно бросают два шарика: один — вверх со скоростью 15 м/с, другой — вниз со скоростью 5 м/с. Какой интервал времени отделяет моменты их падения на землю?








