Кирик Л.А ФГОС 10 класс онлайн Самостоятельная работа № 3 Средний уровень
2. За какое время грузовой автомобиль, двигаясь с ускорением 0,2 м/с^2, увеличит свою скорость с 10 до 20 м/с?
3. Через 25 с после начала равноускоренного движения спидометр грузового автомобиля показал скорость 36 км/ч. С каким ускорением двигался автомобиль?
4. Велосипедист движется под уклон с ускорением 0,2 м/с^2. Какой станет его скорость через 10 с, если начальная скорость 5 м/с?
5. Велосипедист, скорость которого 3 м/с, начал спускаться с горы с ускорением 0,8 м/с^. Найдите длину горы, если спуск занял 6 с.
6. Камень бросили вертикально вниз с начальной скоростью 5 м/с. С какой высоты бросили камень, если он падал 2 с?
7. Мяч бросили вертикально вверх со скоростью 20 м/с. Через какое время мяч достигнет высшей точки?
8. Камень падает без начальной скорости. Определите глубину ущелья, если камень достиг его дна за 4 с.
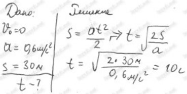
9. За какое время автомобиль, двигаясь из состояния покоя с ускорением 0,6 м/с^, пройдет путь 30 м?
10. При аварийном торможении на сухом асфальте (рис. а) автомобиль движется с ускорением 8 м/с^. Чему равен тормозной путь автомобиля (рис. б) при скорости 72 км/ч?
1. Покоившееся тело начинает двигаться прямолинейно равноускоренно с ускорением 0,4 м/с^2. Какой станет скорость тела через 5 с?
2. За какое время грузовой автомобиль, двигаясь с ускорением 0,2 м/с^2, увеличит свою скорость с 10 до 20 м/с?
3. Через 25 с после начала равноускоренного движения спидометр грузового автомобиля показал скорость 36 км/ч. С каким ускорением двигался автомобиль?
4. Велосипедист движется под уклон с ускорением 0,2 м/с^2. Какой станет его скорость через 10 с, если начальная скорость 5 м/с?
5. Велосипедист, скорость которого 3 м/с, начал спускаться с горы с ускорением 0,8 м/с^. Найдите длину горы, если спуск занял 6 с.
6. Камень бросили вертикально вниз с начальной скоростью 5 м/с. С какой высоты бросили камень, если он падал 2 с?
7. Мяч бросили вертикально вверх со скоростью 20 м/с. Через какое время мяч достигнет высшей точки?
8. Камень падает без начальной скорости. Определите глубину ущелья, если камень достиг его дна за 4 с.
9. За какое время автомобиль, двигаясь из состояния покоя с ускорением 0,6 м/с^, пройдет путь 30 м?
10. При аварийном торможении на сухом асфальте (рис. а) автомобиль движется с ускорением 8 м/с^. Чему равен тормозной путь автомобиля (рис. б) при скорости 72 км/ч?









