Тригонометрические функции одного угла:
Тригонометрические функции суммы и разности двух углов:
Тригонометрические функции двойного угла:
Формулы понижения степени для квадратов тригонометрических функций:
Формулы понижения степени для кубов синуса и косинуса:
Выражение тангенса через синус и косинус двойного угла:
Преобразование суммы тригонометрических функций в произведение:
Преобразование произведения тригонометрических функций в сумму:
Выражение тригонометрических функций через тангенс половинного угла:
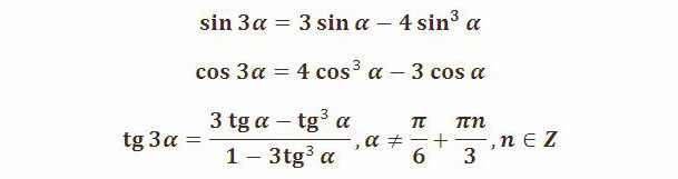
Тригонометрические функции тройного угла:









